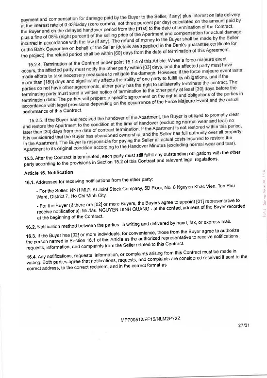
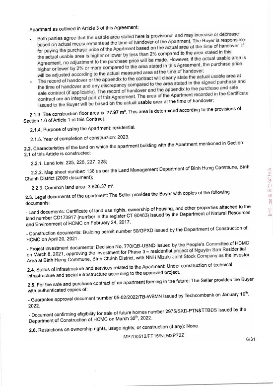
CHI TIẾT BỘ DỊCH THUẬT CÔNG CHỨNG
HƠP ĐỒNG MUA BÁN BĐS
Bộ hồ sơ dịch thuật công chứng tại phòng tư pháp bao gồm các giấy tờ sau:
- Bản photo hợp đồng mua bán bđs
- Bản dịch hợp đồng mua bán bđs
- Bản chữ ký người dịch đã được phòng tư pháp chấp nhận
Bản Photo Hợp Đồng BĐS Tờ 1
Bản Dịch Thuật Hợp Đồng BĐS
Bản Photo Hợp Đồng BĐS Tờ 2
Bản Dịch Hợp Đồng BĐS Tờ 2
Bản Photo Hợp Đồng BĐS Tờ 3
Bản Dịch Hợp Đồng BĐS Tờ 3
Bản Photo Hợp Đồng BĐS Tờ 4
Bản Dịch Hợp Đồng BĐS Tờ 4
Bản Photo Hợp Đồng BĐS Tờ 5
Bản Dịch Hợp Đồng BĐS Tờ 5
Bản Photo Hợp Đồng BĐS Tờ 6
Bản Dịch Hợp Đồng BĐS Tờ 6
Bản Photo Hợp Đồng BĐS Tờ 7
Bản Dịch Hợp Đồng BĐS Tờ 7
Chữ Ký Dịch Thuật Hợp Đồng BĐS
